امتحان شهادة البكالوريا 2022 موضوع اللغة الإنجليـزية ( الشعب العلـميّة)
مرحبا بكم متابعي و زوار، موقع مدرستي الجزائرية الدراسة في الجزائر ، على قسم شهادة البكالوريا 2022، لنقدم لكم، امتحان شهادة البكالوريا 2022 موضوع اللغة الإنجليـزية الشعب العلـميّة، على شكل PDF قابلة للتحميل، شهادة البكلوريا اللغة الإنجليزية الشعب العلميةBAC
تستطيع الاطلاع على موضوع الامتحان، امتحان شهادة البكالوريا 2022 موضوع مادة اللغة الإنجليزية الشعب العلمية، مباشر ما عليك سوى الضغط على كلمة "تحميل الملف" , سيواجهك مباشرة الى صفحة جوجل درايف من هنا تستطيع مشاهدة الموضوع كما يمكنك تحميله بسهولة، الموضوع خاص بـ: موضوع الأمتحان البكالوريا 2022 الشعب العلمية .
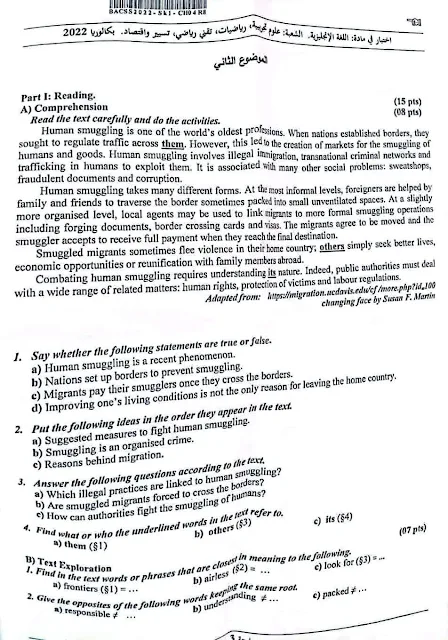
موضوع امتحان اللغة الإنجليزية بكالوريا 2022 الشعب العلمية:
سيتم نشر التصحيح بعد انتهاء التلاميذ من اجتياز الإمتحان:
كما بي امكانكم تصفح باقي مواضيع شهادة البكالوريا مع التصحيح النموذجي في جميع المواد، من خلال القائمة الموجودة في الأسفل الموضوع.
واذا كان الموضوع مفيد لك فلا تنسى دعمنا مشاركة الموضوع مع اصدقائك وحتى تحفزنا بتقديم المزيد لك نتمنا لكم التوفيق ونجاح
شعبة العلمية




